2020년 교사 봉급표 2020 공무원 호봉표 20년도 군인 월급 보수 급여표

공무원, 교사, 군인 등 공공 부문에서 일하는 사람들은 매년 봉급표가 갱신되며, 이는 대통령령에 의해 정해집니다. 이번 포스팅에서는 2020년의 공무원, 교사, 군인 월급표를 중심으로 살펴보겠습니다. 이 정보는 많은 분들에게 유용할 것이며, 공무원 채용을 준비 중인 분들께도 도움이 될 것입니다.
2020년 공무원 호봉표
2020년 공무원 봉급표는 2020년 1월 7일에 발표된 공무원 보수규정 일부 개정령에 따라 결정되었습니다. 이 개정령은 매년 공무원의 봉급 인상률을 반영하여 발표되며, 공무원 보수표를 별표로 포함하고 있습니다.
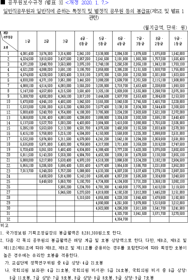
일반직 공무원 봉급표

일반직 공무원과 일반직에 준하는 특정직 및 별정직 공무원의 월급은 다음과 같습니다. 국정원 기획조정실장의 봉급은 828만원으로, 이는 국립대 총장, 경찰 치안총감, 소방총감 등과 동일한 급여 수준입니다. 이들을 통틀어 차관급 공무원이라 부르며, 군인으로 비교하면 중장급의 월급에 해당합니다. 2020년 대장의 봉급은 843만원이므로, 장관급 공무원의 월급은 대장의 봉급과 동일하다고 볼 수 있습니다.
공안직 공무원 봉급표

공안직 공무원에는 방호직, 경비직, 교도관, 출입국관리직, 마약수사 등의 업무를 수행하는 공무원들이 포함됩니다. 이들의 월급은 일반직 공무원보다는 높고, 경찰보다는 낮은 수준입니다.
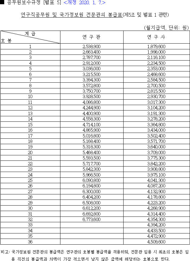
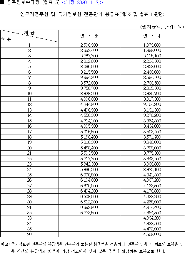
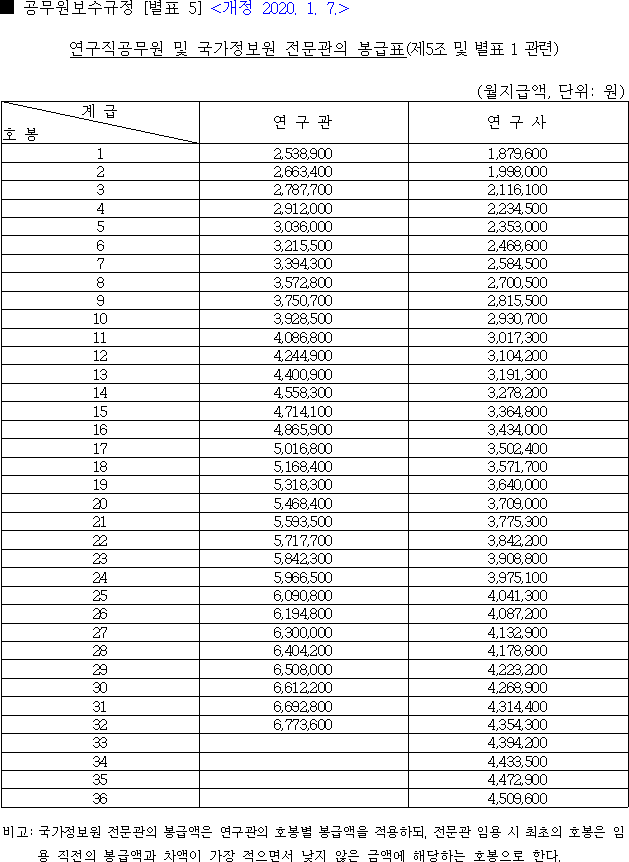
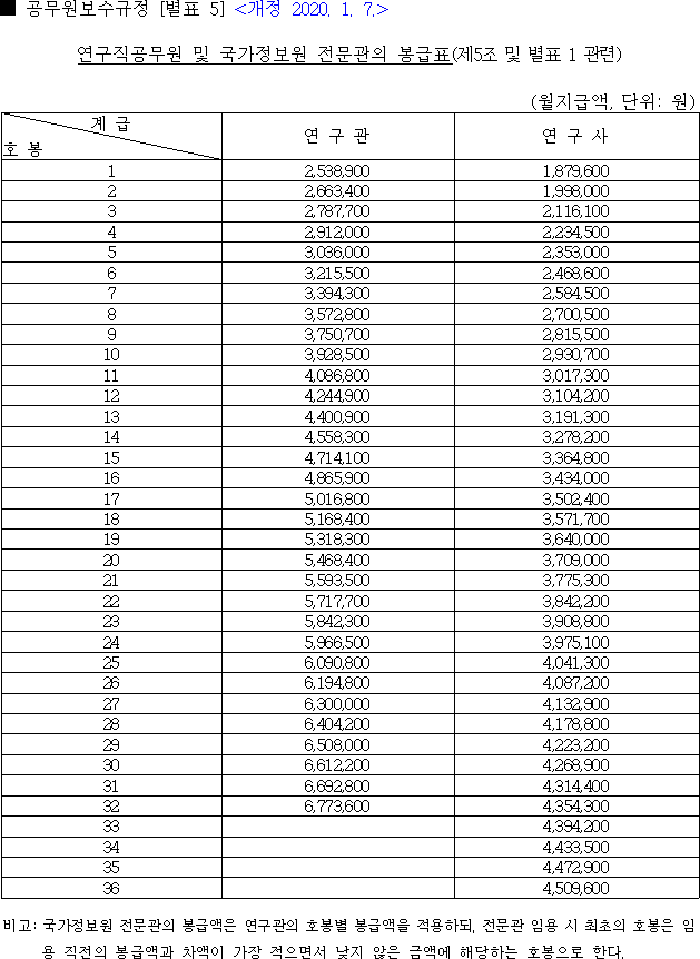
연구직 공무원 및 국가 정보원 전문관 보수표

연구직 공무원과 국가 정보원 전문관의 봉급은 해당 직무의 특수성을 고려하여 책정됩니다. 이들 역시 다른 공무원들과 마찬가지로 봉급표에 따라 매년 인상된 월급을 받습니다.
지도직 공무원 보수표

지도직 공무원은 주로 기술 지도, 농업 지도 등 특정 분야에서의 지도를 담당하는 공무원들로, 이들의 월급도 공무원 보수표에 따라 책정됩니다.
우정직군 공무원 급여표

우정직군 공무원, 즉 우체부나 집배원 등의 급여는 다른 공무원들과 동일한 기준에 따라 결정됩니다.
교사 봉급표

2020년 교사 봉급표는 다음과 같습니다. 초등교사, 중학교 교사, 고등학교 교사, 유치원 교사 등 모든 교원의 월급은 매년 정해진 인상률에 따라 인상됩니다. 2021년 교사 봉급표는 아직 발표되지 않았으나, 올해 경기 여파로 1.x%대 인상이 예상됩니다.
국립대학교 교수 월급표

국립대학교 교수의 월급은 다른 교원들과 마찬가지로 매년 인상되며, 2020년에는 기존 월급에 인상률을 반영하여 결정되었습니다.
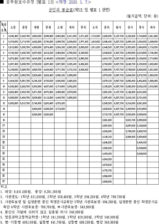
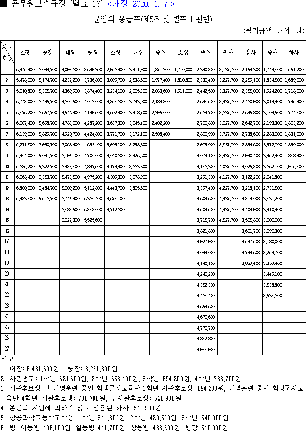
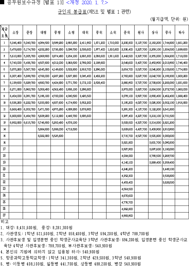
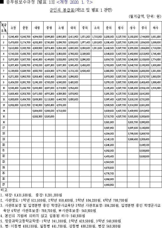
군인 월급표

2020년 군인의 월급표는 다음과 같습니다. 대장의 월급은 843만원이며, 중장의 월급은 828만원입니다. 중장의 월급은 경찰 치안총감, 소방총감과 동일하며, 국정원의 기조실장 월급과도 같습니다.
이 외에도 각 직군마다의 월급표가 존재하며, 이는 대통령령에 따라 매년 갱신됩니다. 공무원 월급은 매년 인상되며, 이는 공무원들의 사기 진작과 업무 효율성 향상에 기여합니다.
이번 포스팅에서는 2020년의 공무원, 교사, 군인 월급표를 중점적으로 살펴보았습니다. 앞으로도 매년 갱신되는 공무원 봉급표에 대한 정보를 제공하여 여러분이 필요한 정보를 쉽게 얻을 수 있도록 하겠습니다.
키워드: 공무원 봉급표, 2020 공무원 호봉표, 공무원 월급, 교사 봉급표, 군인 월급표, 공안직 공무원, 연구직 공무원, 지도직 공무원, 우정직군 공무원, 국립대 교수 월급.
'직장 직업 공무원 경제' 카테고리의 다른 글
| 맥심 직원 정석영 사원 (경영지원팀) (0) | 2020.03.02 |
|---|---|
| 농협 무통장입금 수수료 하는법, atm 계좌이체 시간 (0) | 2020.02.23 |
| 국민은행, 제일은행, 외환은행, 하나은행 스위프트 코드, 농협 swift code (0) | 2020.02.22 |
| 삼성SDI, 삼성디스플레이, 삼성전자 임원인사 2020 삼성전기 삼성SDS (0) | 2020.02.17 |
| 2020 교원성과급 지급시기 및 교육 공무원 성과상여금 금액 (0) | 2020.02.12 |