2024년 공안직 공무원 봉급표 2024 (보호직, 검찰직, 마약수사직, 출입국관리직, 철도경찰직, 교정직 공무원 월급)
공안직 공무원이란 공공의 안녕과 질서 유지를 책임지는 국가기관 소속 직업군을 말하며, 교정직, 보호직, 검찰직, 마약수사직, 출입국관리직, 철도경찰직 등 다양한 분야를 포괄합니다.

2024년 공안직 공무원의 봉급은 전반적으로 개선되었습니다. 특히, 5급 이하 공무원의 경우 2.5%의 봉급 인상 혜택을 받았고, 처우 개선이 시급했던 9급 초임 1호봉 공무원의 경우 6%의 인상률을 적용받아 봉급이 상승했습니다.
9급 1호봉의 경우, 2023년 대비 6% 인상으로 1,770,800원에서 1,877,000원으로 조정되었습니다.
이 외에도 9급 2호봉은 1,903,000원, 3호봉은 1,940,800원으로 결정되었습니다. 상승률은 4호봉까지 이어지며, 5호봉부터는 월 봉급이 2,054,700원으로 200만 원을 초과합니다.
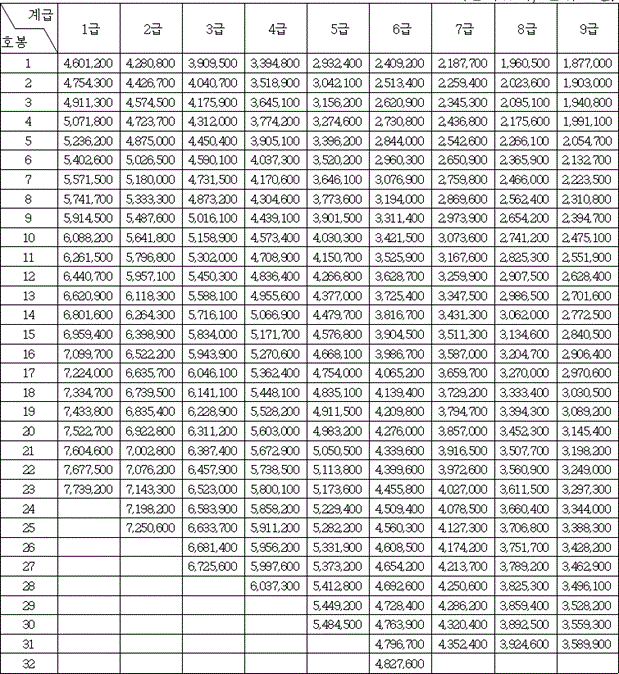
2024년 공안직 공무원 봉급표
2024년 공안직 공무원 봉급표는 다음과 같습니다.

호봉과 계급에 따라 세분화되어 있으며, 공안직 공무원 각자의 경력과 직급에 맞는 보수를 확인할 수 있습니다.
1급부터 9급까지 봉급표
- 1급 1호봉: 4,601,200원
- 9급 1호봉: 1,877,000원
- 9급 2호봉: 1,903,000원
- 9급 3호봉: 1,940,800원
- 9급 5호봉: 2,054,700원
참고:
- 공안직 공무원은 업무의 특수성으로 인해 일반직 공무원보다 높은 봉급을 받지만, 경찰공무원이나 소방공무원보다는 상대적으로 낮은 편입니다.
- 2024년 봉급표는 2024년 1월 1일 기준이며, 이후 변경될 수 있습니다.
- 정확한 봉급 정보는 해당 기관의 인사담당 부서에 문의하시기 바랍니다.
교정직 공무원 월급
교정직 공무원의 봉급은 위 표와 동일하며, 호봉과 계급에 따라 결정됩니다.
교정직 공무원 또한 2024년 봉급 인상 혜택을 받았습니다.
교정직 공무원: 공안직군의 중요한 일원
대한민국 법무부 소속 교정본부에 속한 교정직 공무원은 국내 공안 직군의 중요한 부분을 이루고 있습니다. 이들은 흔히 '교도관'으로 불리며, 다른 특정 직군과는 달리 일반 공무원으로 분류됩니다. 이에 대한 자세한 설명을 알아봅시다.


세부 설명
교정직 공무원은 일반 공무원과 유사한 계급과 월급 체계를 갖추고 있습니다. 이들은 검사, 교사, 군인, 경찰관, 소방관과 같은 특정 직군이 아니라 일반직 공무원에 해당합니다. 그렇기에 공안직군 중 하나로 분류되며, '교정직렬'을 담당하고 있습니다.
과거에는 교정직렬에 분류직류와 교화직류가 별도로 존재했지만, 2000년에는 이를 '교정직'이라는 단일 직렬로 통합되었습니다. 이로 인해 교도소에서 근무하는 운전직 9급, 의료직(의사, 약사, 간호사) 직원들은 별도의 T/O를 갖는 직렬로 구분됩니다.
교도소에서 근무하는 교정직 공무원들은 수용자를 관리하고 계류합니다. 이는 종종 수용자들에게 달갑지 않은 존재로 인식될 수 있으나, 경우에 따라 구원자적인 역할을 하기도 합니다. 특히 교도소 내에서 탄압받는 수용자들은 교도관 근처를 찾는 경우가 많습니다.
교정직 공무원은 공안직군에 속하며, 일반직 공무원과 유사하게 취급됩니다. 이들은 자체적으로 특정직으로 독립하기 위해 노력하고 있습니다.
교정직 공무원은 대한민국 법무부 소속 교정본부에서 중요한 역할을 수행하는 공안직군의 일원입니다. 이들은 교도소에서 수용자를 관리하고 보호하는 역할을 담당하며, 일반직 공무원과 유사한 계급과 월급 체계를 갖추고 있습니다.
기타 궁금한 점
- 특정 직무 또는 지역의 봉급 정보
- 승진 및 연봉 체계
- 복지 혜택
문의:
- 해당 기관
'직장 직업 공무원 경제' 카테고리의 다른 글
| 2024 국회의원 선거 알바 TOP 8 - 선거 운동 기간, 선거관리위원회, 개표참관인, 개표 사무원, 선거 사무원, 선거 운동 알바 (0) | 2024.03.23 |
|---|---|
| 공무원 65세 정년연장 정부안 (0) | 2024.03.18 |
| 2024년 고용보험 보수총액신고 기간 신고서 양식 (0) | 2024.01.21 |
| 2024년 공무원 봉급표 2024 공무원 봉급 인상률 (0) | 2023.12.25 |
| GDP 계산법, 뜻 3분기 GDP 성장률 0.6% (0) | 2023.12.05 |
목차
댓글